پلی اتیلن گلیکول 7 گلیسریل کوکوات (PEG 7)
PEG-7 Glyceryl Cocoate بهواسطه ساختار سهگانه خود (چرب، آبدوست و گلیسرولی)، عملکردی چندمنظوره شامل نرمکنندگی، مرطوبکنندگی، امولسیونسازی و پاککنندگی ملایم را ارائه میدهد.
5,775,000 تومان – 577,500 تومانPrice range: 577,500 تومان through 5,775,000 تومان
قیمت های آنلاین
انتخاب وزن
ضمانت اصلات
محصولات اورجینال
پشتیانی 24/7
مشاوره خرید محصول
تحویل فوری
سریع ترین زمان
معرفی کلی
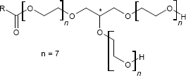
پلیاتیلن گلیکول-7 گلیسریل کوکوات (PEG-7 Glyceryl Cocoate) یک ترکیب سورفکتانت و امولسیفایر غیر یونی است که از واکنش اسیدهای چرب روغن نارگیل (Coconut Fatty Acids) با گلیسرین و سپس اتوکسیلاسیون با حدود ۷ مولکول اتیلن اکسید تولید میشود. این ماده در گروه مشتقات پلیاتیلن گلیکولها و استرهای گلیسرول قرار دارد و ترکیبی بسیار ملایم، زیستتخریبپذیر و سازگار با پوست و مو به شمار میرود.
این ماده معمولاً بهصورت مایعی بیرنگ تا زرد کمرنگ با بویی ملایم به بازار عرضه میشود و به دلیل ویژگیهای عملکردی خاص خود، در بسیاری از محصولات مراقبت شخصی و شویندههای ملایم کاربرد گستردهای دارد.
ساختار شیمیایی
ساختار شیمیایی PEG-7 Glyceryl Cocoate شامل سه بخش اصلی است:
- زنجیره اسید چرب نارگیل: که عمدتاً شامل اسید لوریک (C12)، اسید میریستیک (C14) و سایر اسیدهای چرب اشباع و غیراشباع روغن نارگیل است.
- واحد گلیسرول: که با اسیدهای چرب استریفیه شده و پیوند استری را شکل میدهد.
- زنجیرههای اتیلن اکسید (PEG-7): که از حدود ۷ واحد اتیلن اکسید تشکیل شده و باعث افزایش حلالیت در آب و خواص مرطوبکنندگی ترکیب میشود.
فرمول کلی آن را میتوان به صورت زیر نشان داد:
Coconut fatty acid + Glycerin → Glyceryl Cocoate → Ethoxylation (7 EO units) → PEG-7 Glyceryl Cocoate
خواص فیزیکی و شیمیایی
- شکل ظاهری: مایع شفاف بیرنگ تا زرد روشن
- بوی خاص: ملایم و نزدیک به بوی روغن نارگیل
- حلالیت: محلول در آب، اتانول و اغلب حلالهای قطبی
- pH (محلول 10%): بین 5 تا 7
- وزن مولکولی تقریبی: متغیر بر اساس زنجیرههای اسید چرب، ولی معمولاً در بازه 400 تا 600 دالتون
ویژگیها و عملکرد
PEG-7 Glyceryl Cocoate بهدلیل ساختار منحصربهفرد خود، ویژگیهای زیر را ارائه میدهد:
- مرطوبکنندگی (Humectant & Emollient)
این ماده بهخوبی میتواند به پوست و مو رطوبت رسانده و از خشک شدن آنها جلوگیری کند. بخش PEG آن رطوبت را جذب کرده و بخش گلیسرول و اسید چرب باعث نرمی و لطافت پوست و مو میشوند.
- سورفکتانت و پاککنندگی ملایم
در شویندهها، بهعنوان سورفکتانت غیر یونی عمل کرده و کف ملایمی تولید میکند که پوست را تحریک نمیکند. برخلاف سورفکتانتهای آنیونی مانند SLS، باعث خشکی و آسیب به پوست نمیشود.
- افزایشدهنده پایداری امولسیون
بهعنوان کمکامولسیفایر، به پایداری امولسیونها در محصولات آرایشی و بهداشتی کمک میکند.
- افزایشدهنده پخشکنندگی
باعث بهبود پخش شدن مواد فعال بر روی سطح پوست و مو میشود که در محصولات مراقبت از پوست، کرمهای ضدآفتاب و رنگ مو اهمیت زیادی دارد.
- نرمکنندگی و حس نرمی بعد از شستشو
استفاده از PEG-7 در شامپو و شویندههای بدن باعث باقیماندن یک لایه محافظ و نرمکننده بر روی پوست و مو میشود که حس ابریشمی و لطیفی را به همراه دارد.
کاربردها
1. محصولات مراقبت از مو
- شامپوهای ملایم و ترمیمکننده
- نرمکنندهها و سرمهای مو
- ماسک مو
- محصولات کراتینه و صافکننده
2. محصولات مراقبت از پوست
- شویندههای صورت و بدن (Cleanser)
- مرطوبکنندهها و لوسیونها
- کرمهای اصلاح و افترشیو
- کرمهای ضدآفتاب و محصولات ضدپیری
3. محصولات کودک
به دلیل ملایمت بالا، در فرمولاسیون شامپو بچه، شویندههای بدن کودک و کرمهای پوستی بدون تحریک استفاده میشود.
4. محصولات بهداشتی خاص
- ژلهای شستشوی بهداشتی بانوان
- ژلها و فومهای ضدعفونیکننده دست با خاصیت مرطوبکنندگی
5. صنعت شویندههای خانگی خاص
در فرمولاسیون شویندههای ملایم دست یا شویندههای دست با ویژگی نرمکنندگی پس از شستشو نیز مورد استفاده قرار میگیرد.
مزایا نسبت به سایر سورفکتانتها
| ویژگی | PEG-7 Glyceryl Cocoate | SLS/SLES | کوکامید DEA |
| ملایمت با پوست | بسیار بالا | پایین | متوسط |
| سازگاری با پوست حساس | بسیار خوب | ضعیف | خوب |
| خاصیت مرطوبکنندگی | دارد | ندارد | ندارد |
| تحریک پوستی | بسیار کم | بالا | متوسط |
| پایداری در فرمول | بالا | بالا | بالا |
نکات ایمنی و زیستمحیطی
- ایمنی پوست و چشم: طبق مطالعات انجامشده، PEG-7 Glyceryl Cocoate برای پوست انسان غیرتحریککننده است و در دوزهای مصرفی مجاز، ایجاد حساسیت نمیکند.
- زیستتخریبپذیری: این ماده زیستتخریبپذیر است و بار زیستمحیطی کمی دارد.
- میزان استفاده مجاز: معمولاً بین 1 تا 10 درصد در فرمولاسیونها استفاده میشود. در شویندههای پوست و مو اغلب در بازه 2-5% است.
- عدم سمیت سیستمیک: در آزمایشهای in vivo و in vitro، سمیت سیستمیک یا جهشزایی برای این ترکیب گزارش نشده است.
مقایسه با مواد مشابه
PEG-7 Glyceryl Cocoate را میتوان با ترکیبات مشابه زیر مقایسه کرد:
- PEG-6 Caprylic/Capric Glycerides: عملکرد مشابه دارد ولی زنجیره چرب کوتاهتر است و حس چربی کمتری دارد.
- Glyceryl Oleate: خاصیت نرمکنندگی بالا ولی پایداری کمتر در pH پایین.
- Coco-Glucoside: کف بیشتر ولی خاصیت مرطوبکنندگی کمتر نسبت به PEG-7.
نتیجهگیری
PEG-7 Glyceryl Cocoate یکی از مواد ارزشمند در فرمولاسیونهای بهداشتی و آرایشی است که بهواسطه ساختار سهگانه خود (چرب، آبدوست و گلیسرولی)، عملکردی چندمنظوره شامل نرمکنندگی، مرطوبکنندگی، امولسیونسازی و پاککنندگی ملایم را ارائه میدهد. به دلیل ملایمت بالا، مناسب برای پوستهای حساس، کودکان و استفاده روزانه در انواع محصولات شستشو و مراقبتی است. همچنین بهخوبی با سایر مواد فعال و سورفکتانتها سازگار است و امکان فرمولاسیون متنوع و خلاقانه را فراهم میکند.
| وزن |
250 گرم ,500 گرم ,1000 گرم ,5000 گرم |
|---|
